Ключевые слова: оптимизация процессов ГРП, гидроразрыв пласта, пропант, расклинивающие агенты, лабораторные исследования.
Современные подходы к эффективной разработке низкопроницаемых нефтяных и газовых месторождений требуют массового проведения операций ГРП, что влечет за собой рост потребления РА. В таких условиях системное проведение ЛИ всего спектра РА становится невозможным в связи с длительностью проведения исследований (пример – исследование долгосрочной проницаемости и проводимости) [1].
Настоящее исследование направлено на разработку подхода, позволяющего оценить долгосрочную проницаемость РА экспресс-анализом. Авторами предполагается, что долгосрочная проницаемость РА в той или иной степени зависит от их физико-механических свойств, давления и краткосрочной проницаемости [2].
Для проверки выдвинутой гипотезы решается задача о нахождении зависимости между свойствами РА. На основании подходов анализа размерности, функциональную зависимость целесообразно искать в виде произведения двух функций:

где х – вектор размерных параметров; а – вектор безразмерных параметров;
f и g – некоторые произвольные функции.
Примером такой функциональной зависимости является уравнение Козени-Кармана (формула 2). Важно отметить, что параметры в этой зависимости явно или косвенно описывают основные геометрические и фильтрационные свойства образцов РА (пористость (m), проницаемость (k), извилистость (T), форму (f) и удельную площадь поверхности каналов (s)), что позволяет провести аналогию с поставленной задачей:
Комплекс исследований РА на сегодняшний день включает определение следующих стандартизированных в ISO и ГОСТ параметров:
- сферичность, усл. ед. – ω;
- округлость, усл. ед. – ψ;
- мутность, NTU– η;
- насыпная плотность, г/см3 – p1;
- кажущаяся плотность, г/см3 –p2 ;
- краткосрочная проницаемость, Д (м2) – k₁;
- сопротивление раздавливанию, % – ζ;
- массовая доля гранул основной фракции, % – θ;
- минимальный размер сита, меш (1/м) – φ₁;
- максимальный размер сита, меш (1/м) – φ₂.
Для поиска зависимостей использовались данные, полученные по результатам комплекса исследований 100 образцов РА.
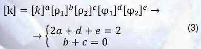
Необходимо соблюсти размерность искомой аппроксимирующей функции для параметра долгосрочной проницаемости. С учетом размерности параметров необходимо соблюдение следующего условия:
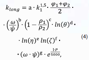
После перебора различных безразмерных комбинаций и перехода в размерные координаты была получена удовлетворительная зависимость (формула 4), кросс-плот сопоставления расчетной и фактической проницаемостей на основе ЛИ представлен на рисунке 1. При расчетах использовалась краткосрочная проницаемость, определенная при давлении 5000 psi.
где a, b, c, d, e, f, g, l – некоторые коэффициенты.
С целью оценки возможности исключения ряда параметров из полученной зависимости был проведен анализ чувствительности изменения R2 (коэффициента детерминации) к исключению каждого из параметров в отдельности без изменения общего вида зависимости. Чем меньше значение скорректированного R2 (коэффициент детерминации, учитывающий число параметров в зависимости), тем большее влияние оказывает исключение данного параметра. Согласно анализу, ключевое влияние на результат оказывают следующие параметры:
1. давление – значение скорректированного R2 без учета этого параметра составляет 0,23;
2. краткосрочная проницаемость – значение скорректированного R2 без учета этого параметра составляет 0,84;
3. сопротивление раздавливанию – значение скорректированного R2 без учета этого параметра составляет 0,89.
Для остальных параметров значения скорректированного R2 без учета их влияния значительно выше (в диапазоне 0,94-0,95), что указывает на меньшее влияние этих параметров в сравнении с вышеперечисленными. Полное значение скорректированного R2 для модели с учетом всех параметров составляет 0,96.
Дополнительно был произведен подбор минимального набора параметров, способного описать выборку с достаточной точностью (R2>0,9). Числовые коэффициенты для построения зависимостей определялись при помощи функции «Эволюционный поиск» в Excel, критерием оптимизации выступал скорректированный R2 между значениями долгосрочной проницаемости по полученной зависимости и значениями долгосрочной проницаемости по данным ЛИ. Минимальный набор параметров, способный с допустимой погрешностью (R2>0,9) описывать зависимость долгосрочной проницаемости от прочих параметров, следующий: краткосрочная проницаемость, сопротивление раздавливанию и давление, что соотносится с анализом чувствительности исходной зависимости.
Кросс-плот результатов расчета по формуле с минимальным набором параметров и значений долгосрочной проницаемости по данным ЛИ изображен на рисунке 2.
Таким образом, долгосрочная проницаемость РА для ГРП в явном виде может быть оценена полученной функциональной зависимостью с минимальным набором параметров, либо расширенной зависимостью (формула 4).
Заключение
Найдена функциональная зависимость долгосрочной проницаемости РА от физико-механических параметров и давления. Зависимость соблюдает требования размерности параметров (формула 4) и связывает долгосрочную проницаемость с краткосрочной проницаемостью и физико-механическими параметрами. Определяющими являются параметры давления, краткосрочной проницаемости и сопротивления раздавливанию.
Представленный подход можно использовать для экспресс-оценки долгосрочной проницаемости РА по имеющимся лабораторным данным для целей оптимизации процессов ГРП.
Литература
1. Инновационные технологии разработки низкопроницаемых коллекторов в ПАО «НК «Роснефть» / А. В. Мирошниченко, А. В. Сергейчев, В. А. Коротовских [и др.] // Нефтяное хозяйство. – 2022. – № 12. – С. 105-109. – DOI 10.24887/0028-2448-2022-12-105-109.
2. Контроль качества материалов гидроразрыва пласта в ООО
«РН-Юганскнефтегаз» / А. Н. Никитин, В. А. Кузнецов, И. Д. Латыпов [и др.] // Нефтяное хозяйство. – 2012. – № 11. – С. 41-43.
